频道
音乐
舞蹈
朗诵
节日
健康
特色
活动
时报
栏目
应用
专题
服务
充值中心
靓号中心
会员中心
客服中心
密码安全
社区论坛
下载
VV音乐PC/ios/Android
Mvbox直播版
VV娱乐社区
51VV移动版
V篇PC/ios/Android
发私信
发给:
刘保罗
内容:
发布
恭喜,私信发送成功了。
刘保罗 空间
原创
翻唱
视频
伴奏
关注
粉丝
日志
相册
个人档案
1
关注
17
粉丝
刘保罗
关注
已关注
|
取消
相互关注
|
取消
个人相册
全部相片
我的相册【
6
】
房间广播用图【
16
】
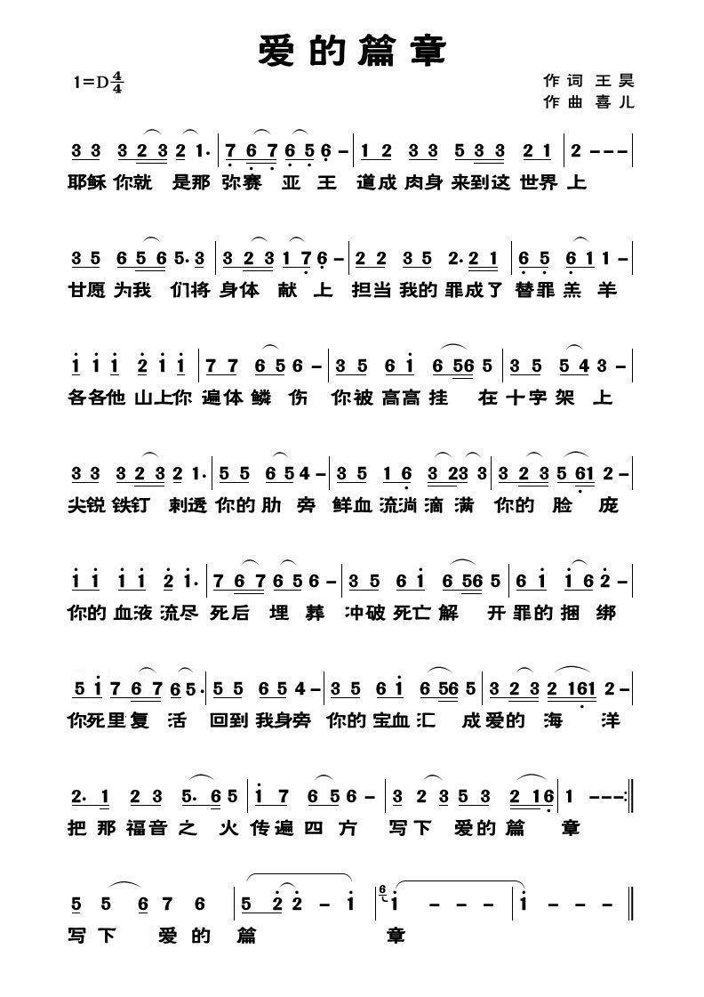
爱的篇章
查看原图
人气(103)
评论(0)
作品评论
插入表情
常用表情
发布
您还可以输入140字
作品评论